All AbMole products are for research use only, cannot be used for human consumption.

For this product's availability, delivery time and price, please email inquiry@abmole.com directly or click the "Inquiry Now" button below.
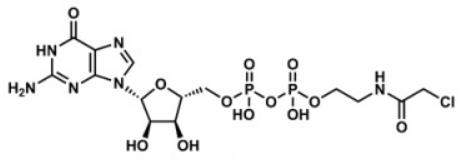
SML-8-73-1 is a GDP analog and also a KRAS inhibitor that irreversibly covalently binds to the GTPase active site of KRAS, and its binding rate to KRAS G12C was more than 95% in a 1 mmol/L GDP/GTP environment, and the IC 50 value for the inhibition of the proliferation of lung cancer cells H358 was 26.6 μmol/L .
| Storage |
Powder -20°C 3 years ; 4°C 2 years In solvent -80°C 6 months ; -20°C 1 month |
| Related Ras Products |
|---|
| ZCL278
ZCL278 is a selective Cdc42 GTPase inhibitor with Kd of 11.4 μM. |
| Kobe0065
Kobe0065 is a novel and effective small-molecule compound inhibiting Ras–Raf interaction by SBDD, exhibits potent activity to competitively inhibit the binding of H-Ras·GTP to c-Raf-1 RBD with a Ki value of 46 ± 13 μM. |
| K-Ras(G12C) inhibitor 9
K-Ras(G12C) inhibitor 9 is an allosteric inhibitor of oncogenic K-Ras(G12C). |
| 6H05 trifluoroacetate
6H05 is a selective and allosteric inhibitor of oncogenic K-Ras(G12C). |
| Salirasib
Salirasib is a potent competitive prenylated protein methyltransferase (PPMTase) inhibitor with Ki of 2.6 μM, which inhibits Ras methylation. Phase 2. |
All AbMole products are for research use only, cannot be used for human consumption or veterinary use. We do not provide products or services to individuals. Please comply with the intended use and do not use AbMole products for any other purpose.
Products are for research use only. Not for human use. We do not sell to patients.
© Copyright 2010-2026 AbMole BioScience. All Rights Reserved.
