All AbMole products are for research use only, cannot be used for human consumption.

Class IA antiarrhythmic; potassium channel blocker.
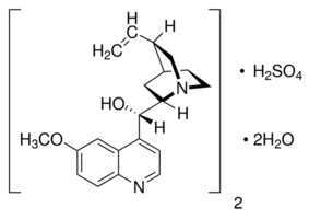
| Molecular Weight | 782.94 |
| Formula | C40H48N4O4 · H2O4S · 2H2O |
| CAS Number | 6591-63-5 |
| Storage |
Powder -20°C 3 years ; 4°C 2 years In solvent -80°C 6 months ; -20°C 1 month |
[1] J M Karle, et al. Structure of 9-epiquinine hydrochloride dihydrate versus antimalarial activity
| Related Products |
|---|
| Lactate calcium
Lactate calcium is an excellent calcium fortifier that works better than inorganic calcium. Lactate calcium is used as an antacid. |
| Coniferyl ferulate
Coniferyl ferulate is a potent glutathione S-transferase (GST) inhibitor that reverses multidrug resistance and down-regulates p-glycoprotein. Coniferyl ferulate strongly inhibited human placental glutathione S-transferase with IC50 of 0.3 μM. |
| NXY-059
NXY-059 is a free radical-trapping neuroprotectant that has been reported to reduce infarct size and preserve brain function in experimental models of acute ischemic stroke. |
| Tie2 kinase inhibitor
Tie2 kinase inhibitor is a potent, reversible, and ATP-binding site-targeting Tie2 inhibitor with an IC50 of 250 nM. |
| Calcium levofolinate
Calcium levofolinate is a calcium salt of folinic acid that is an adjuvant used in cancer chemotherapy. |
All AbMole products are for research use only, cannot be used for human consumption or veterinary use. We do not provide products or services to individuals. Please comply with the intended use and do not use AbMole products for any other purpose.
Products are for research use only. Not for human use. We do not sell to patients.
© Copyright 2010-2026 AbMole BioScience. All Rights Reserved.
