All AbMole products are for research use only, cannot be used for human consumption.

Penfluridol (R-16341) effectively inhibits TNFα-induced NF-κB activation and alleviates the severity of arthritis and colitis in vivo. Penfluridol is a Ca2+-calmodulin inhibitor. Penfluridol induces apoptosis and autophagy.
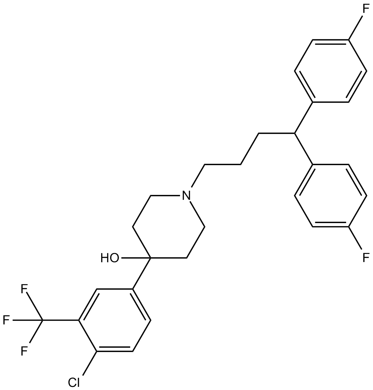
| Molecular Weight | 523.97 |
| Formula | C28H27ClF5NO |
| CAS Number | 26864-56-2 |
| Form | Solid |
| Solubility (25°C) | DMSO 90 mg/mL |
| Storage |
Powder -20°C 3 years ; 4°C 2 years In solvent -80°C 6 months ; -20°C 1 month |
[2] Nguyen Minh Tuan, et al. Penfluridol as a Candidate of Drug Repurposing for Anticancer Agent
[3] Jacqueline Pich. Review: Chlorpromazine Versus Penfluridol for Schizophrenia
[4] Naemeh Nikvarz, et al. Chlorpromazine versus penfluridol for schizophrenia
| Related Calcium Channel Products |
|---|
| KB-R7943 mesylate
KB-R7943 mesylate is a potent, selective inhibitor of the reverse mode of the Na+/Ca2+ exchanger (IC50 = 0.7 mM). |
| Cilnidipine
Cilnidipine is a dual L- and N-type calcium channel blocker that displays antihypertensive, sympatholytic and neuroprotective activity. |
| Azelnidipine
Azelnidipine is a novel dihydropyridine derivative, a L-type calcium channel blocker, and an antihypertensive. Azelnidipine inhibits the intracellular calcium ion flow and lower blood pressure by selectively blocking L-type calcium channel on the membrane of vascular smooth muscle. Azelnidipine inhibits esophageal squamous cell carcinoma proliferation by targeting MEK1/2. Azelnidipine also has anti-inflammatory, antioxidant and neuroprotective effects. |
| Catharanthine
Catharanthine inhibits nicotinic receptor mediated diaphragm contractions with IC50 of 59.6 μM |
| Cinepazide maleate
Cinepazide maleate is a maleate salt form of cinepazide which is a vasodilator. |
All AbMole products are for research use only, cannot be used for human consumption or veterinary use. We do not provide products or services to individuals. Please comply with the intended use and do not use AbMole products for any other purpose.
Products are for research use only. Not for human use. We do not sell to patients.
© Copyright 2010-2026 AbMole BioScience. All Rights Reserved.
