All AbMole products are for research use only, cannot be used for human consumption.

Oxethazaine is a strong local anaesthetic, which acts in a number of ways to numb the walls of the stomach and relieve the pain associated with hyperacidic conditions.
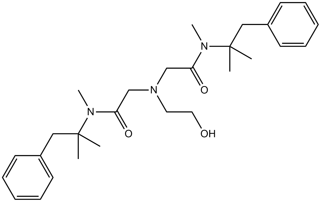
| Molecular Weight | 467.64 |
| Formula | C28H41N3O3 |
| CAS Number | 126-27-2 |
| Solubility (25°C) | DMSO 50 mg/mL |
| Storage |
Powder -20°C 3 years ; 4°C 2 years In solvent -80°C 6 months ; -20°C 1 month |
[1] Hokuto Namba, et al. Inhibitory Effect of Oxethazaine on Midazolam Metabolism in Rats
| Related Animal experimental anesthetics Products |
|---|
| Articaine hydrochloride
Articaine hydrochloride is a dental local anesthetic which contains an additional ester group that is metabolized by estearases in blood and tissue. Articaine hydrochloride ameliorates LPS-induced acute kidney injury via inhibition of NF-ĸB activation and the NLRP3 inflammasome pathway. |
| Benzocaine
Benzocaine is the ethyl ester of p-aminobenzoic acid (PABA), it is a local anesthetic commonly used for the research of topical pain reliever or in cough drops. Benzocaine shares a common receptor with all othe rLAs in the voltage-gated Na+ channel, with an IC50 of 0.8 mM tested with a potential of +30 mV. |
| Butacaine
Butacaine is a reversible nerve conduction blocker. Butacaine acts on the nervous system and nerve fibers, can cause both sensory and motor paralysis. Butacaine inhibits mouse heart MAO (type B) and rat heart MAO (type A) with IC50 of 62 μM and 400 μM, respectively. |
| Dibucaine hydrochloride
Dibucaine (Cinchocaine) hydrochloride is a sodium channel inhibitor. Dibucaine hydrochloride is a potent SChE inhibitor. Dibucaine hydrochloride is a local anesthetics. |
| Levobupivacaine hydrochloride
Levobupivacaine hydrochloride is a long-acting amide local anaesthetic. Levobupivacaine hydrochloride exerts anaesthetic and analgesic effects through reversible blockade of neuronal sodium channel. |
All AbMole products are for research use only, cannot be used for human consumption or veterinary use. We do not provide products or services to individuals. Please comply with the intended use and do not use AbMole products for any other purpose.
Products are for research use only. Not for human use. We do not sell to patients.
© Copyright 2010-2026 AbMole BioScience. All Rights Reserved.
