All AbMole products are for research use only, cannot be used for human consumption.

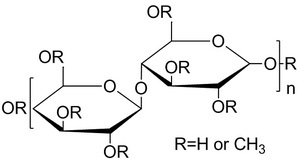
Methyl cellulose is a water soluble, gel-like substance used as thickener for aqueous and non-aqueous systems, clear films with grease resistance, binders, lubricants, steric stabilizer and water retention aid.
| CAS Number | 9004-67-5 |
| Solubility (25°C) | Soluble in cold water |
| Storage | RT, dry, sealed |
[4] Todor A Popov, et al. Methyl-cellulose powder for prevention and management of nasal symptoms
| Related Solvents & Excipients Products |
|---|
| SBE-β-CD
SBE-β-CD (Sulfobutylether beta-cyclodextrin) is a unique reproducible mixture of polyanionic β-cyclodextrin derivatives in which a sodium sulfonate salt is tethered to the lipophilic cyclodextrin cavity by a butyl ether group, or sulfobutylether (SBE). |
| Hydroxyethyl cellulose
Hydroxyethyl cellulose is a non-ionic, modified cellulose polymer used as a thickening agent. |
| Hydroxypropyl methyl cellulose (HPMC)
Hydroxypropyl methyl cellulose (HPMC) is a water-soluble hydrophilic, non-ionic cellulose ether used to form swellable-soluble matrices. |
| 2-Hydroxypropyl-β-cyclodextrin
2-Hydroxypropyl-β-cyclodextrin is the most widely used modified cyclodextrin. |
| Methyl α-D-glucopyranoside
Methyl α-D-glucopyranoside can be used in a study to investigate saccharide-mediated protection of chaotropic-induced deactivation of concanavalin A. |
All AbMole products are for research use only, cannot be used for human consumption or veterinary use. We do not provide products or services to individuals. Please comply with the intended use and do not use AbMole products for any other purpose.
Products are for research use only. Not for human use. We do not sell to patients.
© Copyright 2010-2026 AbMole BioScience. All Rights Reserved.
