All AbMole products are for research use only, cannot be used for human consumption.

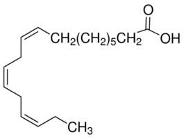
An ω-3 fatty acid that serves as a precursor to eicosapentaenoic acid (EPA) but not docosahexaenoic acid. Conversion is greater in women than men, and conversely, β-oxidation metabolism is greater in men than women.
| Molecular Weight | 278.43 |
| Formula | C18H30O2 |
| CAS Number | 463-40-1 |
| Form | Liquid |
| Storage | -20°C, sealed |
[1] Qianghua Yuan, et al. The review of alpha-linolenic acid: Sources, metabolism, and pharmacology
| Related Products |
|---|
| Poly-L-lysine (MW 150000~300000)
Poly-L-lysine |
| N-Phenylacrylamide
N-Phenylacrylamide |
| Silver diethyldithiocarbamate
Silver diethyldithiocarbamate is used in conjunction with Fe2+ to detect NO in brain, kidney, liver, and other tissues. |
| Methylmalonic acid
Methylmalonic acid can be used as a substrate in esterification reactions by various catalysts. |
| Sarcosine
Sarcosine is a glycine transporter type 1 (GlyT) inhibitor and an N-methyl-D-aspartate (NMDA) receptor co-agonist at the glycine binding site. |
All AbMole products are for research use only, cannot be used for human consumption or veterinary use. We do not provide products or services to individuals. Please comply with the intended use and do not use AbMole products for any other purpose.
Products are for research use only. Not for human use. We do not sell to patients.
© Copyright 2010-2026 AbMole BioScience. All Rights Reserved.
