All AbMole products are for research use only, cannot be used for human consumption.

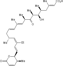
Leptomycin B (CI 940; LMB (LMB) is a protein exit nuclear transport inhibitor. Leptomycin deactivates CRM1/exportin 1 by covalent modification at cysteine residues. Leptomycin B is a potent antifungal antibiotic that blocks the eukaryotic cell cycle.
| Molecular Weight | 540.74 |
| Formula | C33H48O6 |
| CAS Number | 87081-35-4 |
| Form | Melting point 41-44°C |
| Solubility (25°C) | DMSO 90 mg/mL |
| Storage | -20°C, sealed |
| Related Antibiotic Products |
|---|
| Kanamycin sulfate
Kanamycin sulfate is an aminoglycoside antibiotic that acts as a bacteriostatic agent by binding to the bacterial 30S ribosome. |
| Marbofloxacin
Marbofloxacin is a potent antibiotic of the 3rd generation fluoroquinolone group which inhibiting bacterial DNA replication. |
| Linezolid
Linezolid (PNU-100766) is a synthetic antibiotic. Linezolid acts by inhibiting the initiation of bacterial protein synthesis. |
| Daptomycin
Daptomycin is the first member of a new class of bactericidal antibiotics, the cyclic lipopeptides. |
| Sulfadimethoxine
Sulfadimethoxine (trade name Di-Methox, Albon) is a sulfonamide antibiotic. |
All AbMole products are for research use only, cannot be used for human consumption or veterinary use. We do not provide products or services to individuals. Please comply with the intended use and do not use AbMole products for any other purpose.
Products are for research use only. Not for human use. We do not sell to patients.
© Copyright 2010-2026 AbMole BioScience. All Rights Reserved.
