All AbMole products are for research use only, cannot be used for human consumption.

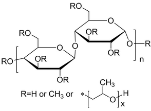
Hydroxypropyl methyl cellulose (HPMC) is a water-soluble hydrophilic, non-ionic cellulose ether used to form swellable-soluble matrices.
Cancer Res Commun. 2022 Aug.
Pharmacological inhibition of SHP2 blocks both PI3K and MEK signaling in low-epiregulin HNSCC via GAB1
Hydroxypropyl methyl cellulose (HPMC) purchased from AbMole
| CAS Number | 9004-65-3 |
| Solubility (25°C) | Soluble in cold water |
| Storage |
Powder -20°C 3 years ; 4°C 2 years In solvent -80°C 6 months ; -20°C 1 month |
| Related Solvents & Excipients Products |
|---|
| SBE-β-CD
SBE-β-CD (Sulfobutylether beta-cyclodextrin) is a unique reproducible mixture of polyanionic β-cyclodextrin derivatives in which a sodium sulfonate salt is tethered to the lipophilic cyclodextrin cavity by a butyl ether group, or sulfobutylether (SBE). |
| Hydroxyethyl cellulose
Hydroxyethyl cellulose is a non-ionic, modified cellulose polymer used as a thickening agent. |
| 2-Hydroxypropyl-β-cyclodextrin
2-Hydroxypropyl-β-cyclodextrin is the most widely used modified cyclodextrin. |
| Methyl α-D-glucopyranoside
Methyl α-D-glucopyranoside can be used in a study to investigate saccharide-mediated protection of chaotropic-induced deactivation of concanavalin A. |
| MES, free acid
MES, free acid is a commonly used buffer. MES (2-Morpholinoethanesulphonic acid) is a buffering agent in biology and biochemistry, the buffer capacity ranging pH 5.5-7.0. MES is broadly used to regulate pH value for plants culture medium, reagent solution, and physiological experiments. |
All AbMole products are for research use only, cannot be used for human consumption or veterinary use. We do not provide products or services to individuals. Please comply with the intended use and do not use AbMole products for any other purpose.
Products are for research use only. Not for human use. We do not sell to patients.
© Copyright 2010-2026 AbMole BioScience. All Rights Reserved.
