All AbMole products are for research use only, cannot be used for human consumption.

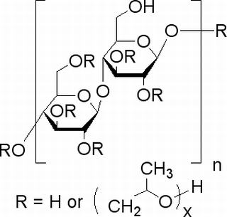
Hydroxypropyl cellulose (hydroxypropyl cellulose) is a semi-synthetic organic compound. It is a white or off-white powder, insoluble in benzene and ether at room temperature, soluble in water, methanol, ethanol, isopropanol and other polar organic solvents. It is also used as an emulsifier and stabilizer for cosmetics and food.
| Molecular Weight | 59.087 |
| Formula | C3H7O* |
| CAS Number | 9004-64-2 |
| Solubility (25°C) | Soluble in Water and Ethanol |
| Storage |
Powder -20°C 3 years ; 4°C 2 years In solvent -80°C 6 months ; -20°C 1 month |
| Related Solvents & Excipients Products |
|---|
| SBE-β-CD
SBE-β-CD (Sulfobutylether beta-cyclodextrin) is a unique reproducible mixture of polyanionic β-cyclodextrin derivatives in which a sodium sulfonate salt is tethered to the lipophilic cyclodextrin cavity by a butyl ether group, or sulfobutylether (SBE). |
| Hydroxyethyl cellulose
Hydroxyethyl cellulose is a non-ionic, modified cellulose polymer used as a thickening agent. |
| Hydroxypropyl methyl cellulose (HPMC)
Hydroxypropyl methyl cellulose (HPMC) is a water-soluble hydrophilic, non-ionic cellulose ether used to form swellable-soluble matrices. |
| 2-Hydroxypropyl-β-cyclodextrin
2-Hydroxypropyl-β-cyclodextrin is the most widely used modified cyclodextrin. |
| Methyl α-D-glucopyranoside
Methyl α-D-glucopyranoside can be used in a study to investigate saccharide-mediated protection of chaotropic-induced deactivation of concanavalin A. |
All AbMole products are for research use only, cannot be used for human consumption or veterinary use. We do not provide products or services to individuals. Please comply with the intended use and do not use AbMole products for any other purpose.
Products are for research use only. Not for human use. We do not sell to patients.
© Copyright 2010-2026 AbMole BioScience. All Rights Reserved.
