All AbMole products are for research use only, cannot be used for human consumption.

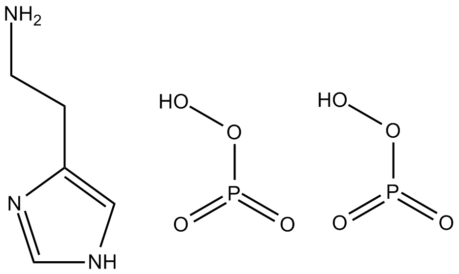
Histamine Phosphate is an endogenous ligand for the histamine receptor that can induce allergic reactions by acting with H1 receptors, promote acid secretion by acting with H2 receptors, and inhibit histamine release and modulate immune responses by acting with H3 receptors and H4 receptors. It can be used in studies related to allergy, hyperacidity, sleep disorders, asthma and many other diseases.
| Molecular Weight | 307.14 |
| Formula | C5H9N.2H3O4P |
| CAS Number | 51-74-1 |
| Form | Solid |
| Solubility (25°C) | DMSO |
| Storage |
Powder -20°C 3 years ; 4°C 2 years In solvent -80°C 6 months ; -20°C 1 month |
[3] M S Stuckey, et al. Histamine sensitivity influences reactivity to allergens
| Related Histamine Receptor Products |
|---|
| Ciproxifan maleate
Ciproxifan is an orally bioavailable, extremely potent histamine H3 inverse agonist/antagonist. |
| Antazoline hydrochloride
Antazoline hydrochloride is a first generation antihistamine, binding to the histamine H1 receptor and blocking the action of endogenous histamine. |
| Azacyclonol
Azacyclonol, also known as γ-pipradol, which diminishes hallucinations in psychotic individuals. |
| Azatadine dimaleate
Azatadine dimaleate is an antihistamine and anticholinergic compound with IC50 of 6.5nM and 10nM, respectively. |
| Bepotastine Besilate
Bepotastine is a non-sedating, selective antagonist of histamine 1 (H1) receptor with pIC50 of 5.7. |
All AbMole products are for research use only, cannot be used for human consumption or veterinary use. We do not provide products or services to individuals. Please comply with the intended use and do not use AbMole products for any other purpose.
Products are for research use only. Not for human use. We do not sell to patients.
© Copyright 2010-2026 AbMole BioScience. All Rights Reserved.
