All AbMole products are for research use only, cannot be used for human consumption.

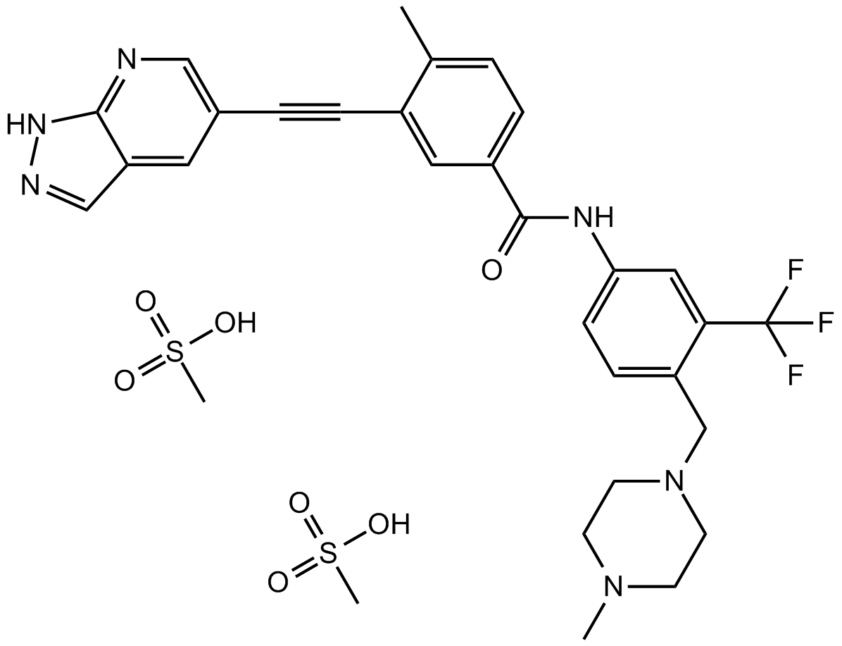
Olverembatinib (GZD824) dimesylate is a third-generation oral effective BCR-ABL inhibitor, acting on BCR-ABL (WT) and BCR-ABL (T315I) with IC50 of 0.34 nM and 0.68 nM, respectively.
| Molecular Weight | 724.77 |
| Formula | C29H27F3N6O.2CH4O3S |
| CAS Number | 1421783-64-3 |
| Solubility (25°C) | DMSO 90 mg/mL Water 40 mg/mL |
| Storage |
Powder -20°C 3 years ; 4°C 2 years In solvent -80°C 6 months ; -20°C 1 month |
| Related Src-bcr-Abl Products |
|---|
| AP24534
Ponatinib (AP24534) is a novel potent, orally available small molecule multitargeted kinase inhibitor of BCR-ABL, PDGFRα, c-Src, c-Kit, FGFR and VEGFR. |
| Saracatinib
Saracatinib (AZD0530) is an orally active small molecule Src inhibitor. |
| Bosutinib
Bosutinib (SKI-606) is a novel Bcr-Abl inhibitor with IC50 values of 0.1 to 0.3 umol/L. |
| Dasatinib
Dasatinib (BMS-354825) is a small molecule inhibitor of both the SRC and BCR/ABL tyrosine kinases, with IC50's for the isolated kinases of 0.55 and 3.0 nM, respectively. |
| DCC-2036
DCC-2036 is an ABL inhibitor with IC50 of 0.8 and 2 nM for u-ABL1native and p-ABL1native, respectively. |
All AbMole products are for research use only, cannot be used for human consumption or veterinary use. We do not provide products or services to individuals. Please comply with the intended use and do not use AbMole products for any other purpose.
Products are for research use only. Not for human use. We do not sell to patients.
© Copyright 2010-2026 AbMole BioScience. All Rights Reserved.
