All AbMole products are for research use only, cannot be used for human consumption.

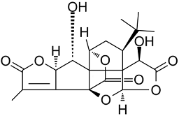
Ginkgolide K induces protective autophagy through the AMPK/mTOR/ULK1 signaling pathway. Ginkgolide K is isolated from Ginkgo biloba, it possesses neuroprotective activity.
| Molecular Weight | 406.38 |
| Formula | C20H22O9 |
| CAS Number | 153355-70-5 |
| Solubility (25°C) | Soluble in DMSO Soluble in ethanol |
| Storage | 2-8°C, protect from light, dry, sealed |
| Related Autophagy Products |
|---|
| Tacrolimus (FK506)
Tacrolimus (FK506, FR900506, Fujimycin, Prograf) is a potent, clinically-useful immunosuppressant in the same molecular class as cyclosporin A and rapamycin. *The compound is unstable in solutions, freshly prepared is recommended |
| Metformin hydrochloride
Metformin HCl is a biguanide inhibitor that reduces blood glucose mainly by inhibiting hepatic glycogen production (hepatic gluconeogenesis), while Metformin is a CD47 inhibitor in vitro. |
| Ivermectin (MK-933)
Ivermectin (MK-933) is a positive allosteric modulator of the α7 neuronal nicotinic acetylcholine receptor and the purinergic P2X4 receptor. Importin α5 inhibitor ivermectin effectively abrogates STAT1-importin α5 interactions. |
| Bergapten
Bergapten is a psoralen that can be photoactivated and is capable of crossing-linking DNA, covalently modifying proteins and lipids, and consequently inhibiting cell replication. |
| Chloroquine diphosphate
Chloroquine diphosphate is a 4-aminoquinoline anti-malarial and anti-rheumatoid agent. |
All AbMole products are for research use only, cannot be used for human consumption or veterinary use. We do not provide products or services to individuals. Please comply with the intended use and do not use AbMole products for any other purpose.
Products are for research use only. Not for human use. We do not sell to patients.
© Copyright 2010-2026 AbMole BioScience. All Rights Reserved.
