All AbMole products are for research use only, cannot be used for human consumption.

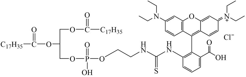
DSPE-Rhodamine is formed by the conjugation of DSPE with the Rhodamine fluorescent dye. DSPE possesses a hydrophobic lipid tail and a hydrophilic head group, while Rhodamine is a red fluorescent dye. DSPE-Rhodamine retains the lipid properties of DSPE while also imparting fluorescent labelling capabilities. As a key component of delivery systems, DSPE-Rhodamine enhances targeting and bioavailability. Its lipid properties facilitate the penetration of molecules through cell membranes, while its fluorescent properties enable tracking of distribution and dynamic changes within the body.
| Molecular Weight | 1284.15 |
| Formula | C70H112ClN4O11PS |
| Storage | -20°C, protect from light, dry, sealed |
| Related Fluorescent Dye Products |
|---|
| Carminic Acid (Natural dye)
Carminic acid is an anthraquinone red dye. Carminic acid is used for human-medical cell diagnosis and serves the purpose of the histological investigation of sample material of human origin. |
| Guanidine hydrochloride
Guanidine hydrochloride, the crystalline compound of strong alkalinity formed by the oxidation of guanine, is a normal product of protein metabolism and a protein denaturant. |
| Indocyanine green
Indocyanine green(Cardiogreen) is a cyanine dye used in medical diagnostics. It is used for determining cardiac output, hepatic function, and liver blood flow, and for ophthalmic angiography. |
| CY7
Cy7 (Sulfo-Cyanine7) is a fluorescence labeling agent (Ex=750 nm, Em=773 nm), used to label proteins, antibodies, peptides, and oligonucleotides. |
| Fluo-4 AM
Fluo-4 AM is a fluorescent dye (λex=494 nm, λem=516 nm). |
All AbMole products are for research use only, cannot be used for human consumption or veterinary use. We do not provide products or services to individuals. Please comply with the intended use and do not use AbMole products for any other purpose.
Products are for research use only. Not for human use. We do not sell to patients.
© Copyright 2010-2026 AbMole BioScience. All Rights Reserved.
