All AbMole products are for research use only, cannot be used for human consumption.

CRX-527 is a highly specific and potent TLR4 agonist, which displays significantly less toxicity when compared to LPS. CRX-527 activates Toll-like receptor 4 (TLR4). Subsequently, it initiates MyD88- and TRIF-dependent pro-inflammatory signaling cascades. Importantly, CRX-527 does not require the TLR4 co-receptor CD14 for activation of either signaling pathway. CRX-527, along with other AGPs, is less toxic than LPS and importantly retains its immunostimulatory properties.
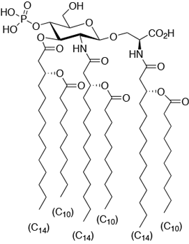
| Molecular Weight | 1488.04 |
| Formula | C81H151N2O19P |
| CAS Number | 216014-14-1 |
| Solubility (25°C) | DMSO 1 mg/mL |
| Storage |
Powder -20°C 3 years ; 4°C 2 years In solvent -80°C 6 months ; -20°C 1 month |
| Related TLR Products |
|---|
| Vesatolimod (GS-9620)
Vesatolimod (GS-9620) is an effective, selective, oral toll-like receptor 7 (TLR7) agonist with an EC50 value of 291 nM. |
| Atractylenolide I
Atractylenolide I is a sesquiterpene obtained from the roots of Atractylenolide. Atractylenolide I has neuroprotective, anti-allergic, anti-inflammatory and anticancer activities. Atractylenolide I is an antagonist of TLR4 and can also reduce the phosphorylation of JAK2 and STAT3 in A375 cells. |
| Schaftoside
Schaftoside is a flavonoid found in a variety of Chinese herbs such as Eleusine indica. Schaftoside inhibited TLR4 and Myd88 expression. Schaftoside also reduced Drp1 expression and phosphorylation, and reduced mitochondrial division. |
| Procyanidin-B1
Procyanidin B1 is a polyphenolic flavonoid that exists in common fruits and can bind to TLR4/MD-2 complex, showing anti-inflammatory activity. |
| Polygalasaponin-F
Polygalasaponin F is an oleanane type triterpenoid saponin extracted from Polygala Japonica, which can reduce the release of inflammatory cytokine tumor necrosis factor α (TNFa). Polygalasaponin F reduces the secretion of neuroinflammatory cytokines by regulating the TLR4-PI3K/ Akt-NF-KB signaling pathway. |
All AbMole products are for research use only, cannot be used for human consumption or veterinary use. We do not provide products or services to individuals. Please comply with the intended use and do not use AbMole products for any other purpose.
Products are for research use only. Not for human use. We do not sell to patients.
© Copyright 2010-2026 AbMole BioScience. All Rights Reserved.
