All AbMole products are for research use only, cannot be used for human consumption.

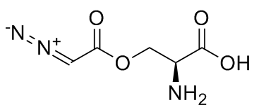
Azaserine is an inhibitor of the rate limiting step of the hexosamine biosynthethic pathway (HBP) and an irreversible inhibitor of GGT1 (gamma-Glutamyltranspeptidase). Azaserine is a naturally occurring serine derivative diazo compound with antineoplastic properties, Azaserine functions as a purine antagonist and glutamine analogue (glutamine amidotransferase inhibitor) that competitively inhibits pathways in which glutamine is metabolized. Azaserine has been shown to elevate the SOD-2 (manganese-superoxide dismutase (MnSOD)) protein level as well as inhibit the oxidative stress and the expression of VCAM-1 and ICAM-1 in response to TNFα. Research indicates that azaserine has the potential to be used as a probe for identifying the L-(leucine-favoring) system transporter in human T-lymphocytes.
| Molecular Weight | 173.13 |
| Formula | C5H7N3O4 |
| CAS Number | 115-02-6 |
| Form | Solid |
| Solubility (25°C) | Water ≥ 30 mg/mL |
| Storage |
Powder -20°C 3 years ; 4°C 2 years In solvent -80°C 6 months ; -20°C 1 month |
| Related Antibiotic Products |
|---|
| Kanamycin sulfate
Kanamycin sulfate is an aminoglycoside antibiotic that acts as a bacteriostatic agent by binding to the bacterial 30S ribosome. |
| Marbofloxacin
Marbofloxacin is a potent antibiotic of the 3rd generation fluoroquinolone group which inhibiting bacterial DNA replication. |
| Linezolid
Linezolid (PNU-100766) is a synthetic antibiotic. Linezolid acts by inhibiting the initiation of bacterial protein synthesis. |
| Daptomycin
Daptomycin is the first member of a new class of bactericidal antibiotics, the cyclic lipopeptides. |
| Sulfadimethoxine
Sulfadimethoxine (trade name Di-Methox, Albon) is a sulfonamide antibiotic. |
All AbMole products are for research use only, cannot be used for human consumption or veterinary use. We do not provide products or services to individuals. Please comply with the intended use and do not use AbMole products for any other purpose.
Products are for research use only. Not for human use. We do not sell to patients.
© Copyright 2010-2026 AbMole BioScience. All Rights Reserved.
