All AbMole products are for research use only, cannot be used for human consumption.

Angiopep-2-cys is a conjugate of Angiopep-2 hydrochloride and cysteine. The conjugation of anticancer agents with the Angiopep-2 peptide vector could increase their efficacy in the treatment of brain cancer.
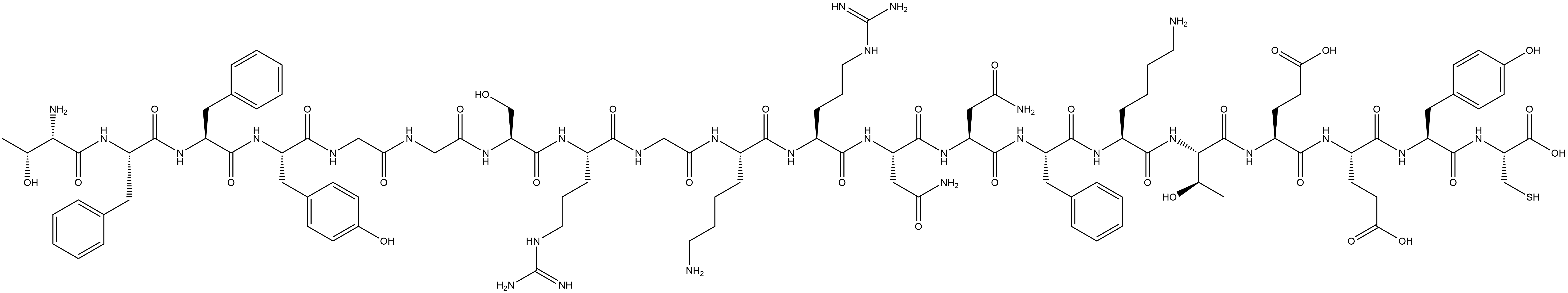
Sequence: TFFYGGSRGKRNNFKTEEYC
| Molecular Weight | 2404.61 |
| Formula | C107H154N30O32S |
| CAS Number | 906480-09-9 |
| Form | Solid |
| Solubility (25°C) | DMSO 6 mg/mL |
| Storage | -20°C, dry, sealed |
| Related Peptides Products |
|---|
| Scrambled 10Panx
Scrambled 10Panx is the scrambled form of 10Panx (WRQAAFVDSY), a mimetic peptide of pannexin 1 that inhibits dye uptake by macrophages without affecting cellular membrane currents. |
| Segetalin-B
Segetalin-B is an orally active cyclopentapeptide found in Vaccaria segetalis, possesses estrogen-like activity. Segetalin B promotes mineralization of ovariectomized rat-derived bone marrow mesenchymal stem cells (BMSCs) in vitro and increases the level of osteocalcin, BMP-2, ALP, and SIRT1 activity. |
| Glutathione
Glutathione (GSH) acts as an antioxidant, a free radical scavenger and a detoxifying agent. It is a tripeptide comprised of three amino acids (cysteine, glutamic acid, and glycine) present in most mammalian tissue. *The compound is unstable in solutions, freshly prepared is recommended |
| Katacalcin TFA
Katacalcin TFA (PDN 21 TFA) is a potent plasma calcium-lowering peptide. |
| FLAG peptide
FLAG peptide is an eight amino acids peptide (Asp-Tyr-Lys-Asp-Asp-Asp-Asp-Lys) with an enterokinase-cleavage site, which is used for antibody-mediated identification and purification of recombinant proteins. |
All AbMole products are for research use only, cannot be used for human consumption or veterinary use. We do not provide products or services to individuals. Please comply with the intended use and do not use AbMole products for any other purpose.
Products are for research use only. Not for human use. We do not sell to patients.
© Copyright 2010-2026 AbMole BioScience. All Rights Reserved.
