All AbMole products are for research use only, cannot be used for human consumption.

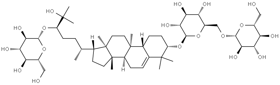
11-deoxymogroside IIIA2 is a biochemical reagent that can be used as a biological material or organic compound for life science related research.
| CAS Number | 2170761-36-9 |
| Storage |
Powder -20°C 3 years ; 4°C 2 years In solvent -80°C 6 months ; -20°C 1 month |
| Related Others Products |
|---|
| Geniposidic acid
Geniposidic acid is an effective anticancer and radioprotection agent. |
| 2-Hydroxymethyl-5-hydroxypyridine
2-Hydroxymethyl-5-hydroxypyridine is isolated from the the matured, ripened and dried seeds of S. lychnophora. |
| Glycoside-O-4
Glycoside-O-4 |
| Salvianolic-acid-D
Salvianolic-acid-D |
| Trichilinin
Trichilinin |
All AbMole products are for research use only, cannot be used for human consumption or veterinary use. We do not provide products or services to individuals. Please comply with the intended use and do not use AbMole products for any other purpose.
Products are for research use only. Not for human use. We do not sell to patients.
© Copyright 2010-2026 AbMole BioScience. All Rights Reserved.
